
在光电融合的今天, SiC作为宽禁带半导体的代表,不仅可作为高压大电流MOSFET和IGBT功率器件的核心材料,同时在光电探测领域发挥重要应用。SiC雪崩探测器(APD),由于能够吸收微弱光子信号而产生光生载流子,在高电场中对晶格的碰撞电离产生高增益光电流而引起国际的高度关注,在激光雷达、化学传感、火焰探测、天气监测及光通信等领域具有重要应用。
通常,传统雪崩光电探测器需在95%临界电场下以盖革模式工作以获得高增益,但此工作模式存在以下挑战:首先,器件在完全雪崩状态会增加击穿风险,需使用淬灭电路以防止永久性损伤,这显著增加了实际应用的复杂性;其次,持续的盖革模式工作会产生电应力,影响传统器件的长期稳定性和工作寿命;此外,盖革模式下的宽带隙雪崩光电探测器需要较高驱动电压(通常高于100 V),难以满足低工作电压应用场景的需求。因此,开发能够在较低电压下实现高增益、无需淬灭电路且具有高稳定性的宽带隙半导体雪崩光电探测器至关重要,此类突破将大幅拓展雪崩光电探测器的应用领域。
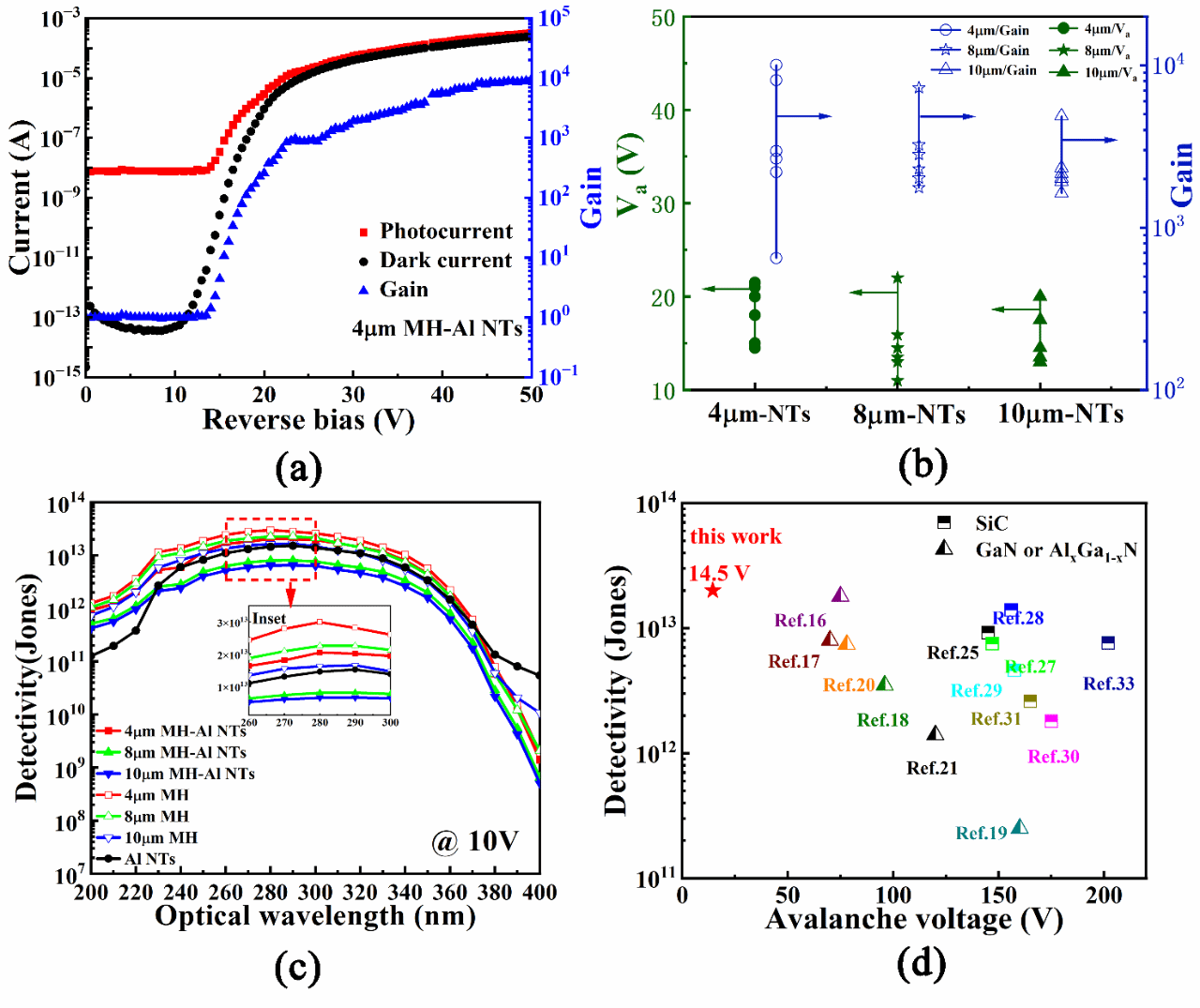
近日,厦门大学张荣院士团队张峰、傅德颐教授课题组和杨志林教授课题组联合中国科学院半导体所王智杰研究员和江南大学王继成教授针对现有SiC紫外雪崩光电探测器面临的高雪崩击穿电压、复杂淬灭电路依赖,以及在盖格模式雪崩工作时易出现器件击穿的挑战,提出一种基于SiC PiN微孔和Al纳米三角阵列结构的新型雪崩探测器。该器件利用SiC微孔中Al纳米颗粒的避雷针效应与局域表面等离激元的协同作用,显著增强SiC表面的局域电场,在14.5 V即展现出雪崩效应,具有高达2 × 1013 Jones的高探测率、纳秒级的响应时间,并且无需淬灭电路即可实现重复稳定的光信号探测。这一成果不仅为开发雪崩光电探测器开辟了新路径,还为宽带隙光电器件、量子器件及光电子集成电路的研制提供重要参考。

图1. 局域雪崩SiC紫外光电探测器与阵列。

图2. 局域雪崩SiC光电探测器光电特性与国际同类器件性能对比。
本研究通过将Al纳米三角阵列结构的局域表面等离激元共振与避雷针效应相结合,有效增强微孔结构中SiC雪崩光电二极管的局域电场强度。对于带有Al纳米颗粒的4 μm 微孔器件,实现14.5 V的低雪崩电压,超过104的高雪崩增益,2 × 1013 Jones的高探测率,与国际同类研究相比处于领先水平。具体测试结果显示,在低反向偏压时,器件光电流维持在10-9 ~10-8 A之间,暗电流稳定在10-14 A。带有Al三角阵列结构的不同微孔器件在15 V反向偏压陆续开启局域雪崩效应,并且随着电压的增大,局域雪崩效果更明显,雪崩增益大幅提高。通过对该器件的局域雪崩机制研究发现:Al纳米颗粒尖端处在电场下由于电荷聚集的避雷针效应会产生较高的电场。器件在15 V偏压下,Al纳米颗粒尖端在SiC微孔中的电场强度高达2.28 MV/cm。通过该电场调控方式,足以引起器件局部区域的雪崩效应。此外,实验发现该探测器长期重复工作一致性非常优秀,其响应时间达到纳秒量级,该器件整体性能优秀且非常接近产业应用,为将来与Si和GaAs等低压雪崩探测器的集成奠定重要基础。
相关研究成果以“Local Avalanche Photodetectors Driven by Lightning-rod Effect and Surface Plasmon Excitations” 为题,于2025年12月3日发表在Nature Communications上。厦门大学物理科学与技术学院2020级博士生付钊与2024级博士生刘佳为本文共同第一作者,厦门大学张荣院士、张峰教授等为本文共同通讯作者。
该研究成果得到国家自然科学基金、国家重点研发计划、江西省自然科学基金及福建省科技计划项目的资助。
文章链接:
https://doi.org/10.1038/s41467-025-66790-w