近日,厦门大学宽禁带半导体研究组在半导体自旋-能谷调控领域取得新进展。相关成果以“Enhanced Valley Splitting in Monolayer WSe2 by Phase Engineering”为题发表在国际著名期刊ACS nano上(ACS Nano 2021 15 (5), 8244-8251)。
谷电子学是专注于操纵谷自由度以实现电子应用的开创性领域,包括量子计算、信息存储等。单层过渡金属二硫属化物(TMDCs)是空间反演对称性破缺并且具有相当大的自旋轨道耦合(SOC)的蜂窝六边形结构,其具有两个简并且不等价的能谷,使它们在谷电子学应用中具有巨大潜力。提升TMDCs中的谷简并是区分和操纵特定谷载流子的关键。
目前已经报道了各种外部调控手段来提升TMDCs中的谷简并度,从而达到增强磁场下的谷分裂的目的。主要包括磁性衬底、磁性掺杂、电场和载流子掺杂,然而,目前报道的分裂能是有限的。单层WSe2在±5 T的垂直磁场下仅表现出约0.7 meV的谷分裂,WS2和MoS2达到14 meV谷分裂则需要施加高达65 T磁场。利用磁邻近效应和磁掺杂增强TMDCs中的谷分裂也由于其复杂的制备过程,难以在实际实验过程中实现。外部电场和载流子掺杂也被用于增强 TMDCs中的谷磁响应,而报道的分裂能仍然很小。因此,需要寻求一种有效、方便和可控的策略来增强TMDCs中的谷磁响应。
图1 相变增强谷分裂示意图
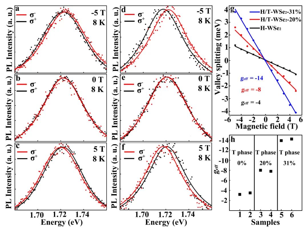
近日,厦门大学宽禁带半导体研究组提出了一种通修饰晶格结构的相工程策略,增强单层 TMDCs中的谷分裂。通过在化学气相沉积合成的单层H-WSe2中使用Ar等离子体处理,制备了H和T混合相WSe2(H/T-WSe2)。混合相WSe2的谷分裂大小可通过T相的比例调节。在±5 T磁场下,T相比例为31%时,获得了高达4.1 meV谷分裂,是单纯H相WSe2谷分裂的3.5倍。另外,作者结合第一性原理计算,分析了增强的谷分裂主要归因于WSe2中T相诱导H相的局部磁矩而产生的交换相互作用,该发现揭示了相工程H/T-WSe2中增强的谷磁响应的物理机制,并为提升二维材料的谷简并性提供了便捷的解决方案。

图2 形貌和结构表征 。

图3 实验测量谷分裂

图4 理论计算谷分裂

图5 谷分裂机理
相关成果以“Enhanced Valley Splitting in Monolayer WSe2 by Phase Engineering”为题发表在国际著名期刊ACS nano上(ACS Nano 2021 15 (5), 8244-8251)。论文第一作者为厦门大学物理科学与技术学院博士生刘海洋和傅德颐副教授,李煦助理教授为样品部分测试提供支持,通讯作者为吴雅苹教授和吴志明教授。该工作得到了国家自然科学基金委员会的支持。
近年来,研究团队在层状半导体可控生长(ACS Appl. Mater. Interfaces, 2019, 11, 19381; ACS Appl. Mater. Interfaces, 2020 12, 2862;ACS Appl. Mater. Interfaces, 2020, 12, 19635)、半导体能谷的极化调控(Phys. Rev. B, 2019, 100, 195435; Nanoscale, 2020, 12, 4069)、量子结构构建及电输运特性(Phys. Rev. Appl., 2020, 13, 024003)等领域取得了系列成果。这些研究将为自旋电子器件和新型谷电子器件的开发打下基础。